二、多路径分摊

(一)多路径分摊概述

1.分摊路径

多路径分摊可以用平行结构示意,如图4-12所示。

图4-12 分摊路径的平行结构示意图

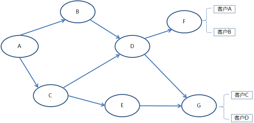
多路径分摊也可以用网状结构示意,如图4-13所示。

图4-13 分摊路径的网状结构示意图

网状结构示意图和平行结构示意图的形式不同,内容和意义完全一样。示意图说明,无论费用的归集口径是什么,最后均分摊到多维组合的成本对象。示意图反映了将不同口径归集的费用向成本对象分摊的过程,这一过程就是分摊路径。

示例:将租金分摊到车间后,还需要继续分摊。一个车间提供多项作业,一项作业为生产多种产品服务,一种产品有多个批次。我们就需要将租金先分摊到不同作业,再分摊到不同产品,最后分摊到不同批次。将归集到公司的租金费用,沿着车间、作业、产品分摊到最终成本对象的过程,就是分摊路径。

为了计算多维组合的成本对象的成本,有时需要借助不纳入成本对象的口径,例如港口、码头等。

关于分摊路径,做以下几点说明:

(1)分摊路径就是成本多维的实现路径。

分摊随着维度空间的转换而转换。作业之所加,即分摊之所向;部门之所在,即分摊之所系;产品之所流,即分摊之所指;用户之所及,即分摊之所至。沿着分摊路径,穿过多维业务空间,形成多维组合成本。

(2)分摊路径是多维组合成本特有的基础设置。

分摊路径相对于传统成本计算的分摊来说,内涵有了极大丰富,外延有了极大扩展,它在不同节点可以选择不同分摊标准进行最合理分摊,成本核算显然就大大精准了。分摊路径应预先定义,不应在分摊过程中临时指定或改变路径。

(3)关于多路径分摊的"多"。

在这里我们顺便对多路径分摊的"多"进行一个估量。如果有8个口径,则可能的分摊路径就会有8的阶乘即40320条;如果有10个口径,则可能的分摊路径就会有10的阶乘即300多万条。阶乘算法还比较保守,因为并不是所有费用的分摊路径都会经过8个或10个节点,有的费用直接归集到成本对象不用分摊,有的费用归集时比较明细,只需一两步就分摊到了成本对象。所以理论上可能的分摊路径比阶乘算法算出的数量更大。当然这只是理论上的估量,实践虽然复杂但远不会这么复杂,例如分摊路径不会是所有口径的任意排列组合。

(4)一种费用项目一般只设置一条分摊路径。

分摊路径应区分不同费用项目分别定义。同一费用项目,可能有多个归集口径,但只有一条分摊路径,多个归集口径的最大并集就是分摊的统一起点。例如差旅费有100元归集到销售部门,80元归集到张三员工,则"部门+员工"就是归集口径,对其他维度就是共耗费用,沿分摊路径进行分摊。我们不对不同口径归集的差旅费分别定义分摊路径,那样会导致分摊路径太多,将本来比较复杂但可以解决的问题,变成更加复杂而近乎无法解决。

也就是说,多路径分摊的"多",是针对各个成本项目总体而言的,不是针对某个成本项目个别而言的。而多口径归集的"多",既是针对各个成本项目总体而言的,也是针对某个成本项目个别而言的。

(5)分摊路径的可视化

多维组合成本,由于费用项目多,归集口径多,分摊路径长,分摊节点多,因此就要求分摊模型要可视化地反映费用分摊过程,提供分摊导航功能,如图4-14所示。

图4-14 多维组合成本的分摊导航

通过分摊导航,可以看到每一费用项目的分摊进度,在每一节点的分摊范围、分摊标准和分摊结果。分摊导航是海洋的灯塔和迷宫的指南,提供了直观的操作指引,可随时把握费用分摊工作的现状和方向。

2.分摊标准

(1)分摊标准的选择

​ 不同明细费用项目的分摊标准可能是不同的。

对于某个费用项目,传统成本计算往往采用一个分摊标准向产品进行分摊。多维组合成本计算,由于费用项目下的不同明细可能有不同的分摊标准,因此需要按每个明细项目进行分摊,工作量会比较大,当然也仅仅是工作量的问题。许多明细项目的归集和分摊方式是完全相同的,因此可在穷举式调研的基础上按归集和分摊方式对明细项目进行分类,同一分类的明细项目可统一进行归集和分摊。

​ 不同节点的分摊标准可能是不同的。

例如生产企业的电费,分摊路径中的各节点依次为车间、作业、产品、批次,采用的分摊标准可能分别为用电量、设备工时×功率、产品产量、生产批量。

​ 同一分摊节点不同成员的分摊标准可能是不同的。

例如同样是作业向产品的分摊,起模工序的分摊标准可能是作业工时,成型工序的分摊标准可能作业次数。

​ 不同约束条件下的分摊标准可能是不同的。

例如某制造费用向产品进行分摊时,如果有实际工时的记录,则按实际工时分摊;没有实际工时的记录,则按定额工时分摊,此时只能认为,工厂默认实际工时与定额工时是差不多的,所以才没必要记录实际工时,按定额工时分摊也是可以的;如果连定额工时都没有,则按产品产量分摊,此时只能认为,工厂默认生产各产品消耗工时是差不多的,所以才既不制定定额工时,也不记录实际工时,按产品产量分摊也是可以的。如果据此计算出来的结果与业务事实差距较大,这种计算也是有意义的,因为它至少将默认的错误暴露出来了,可敦促工时计量工作的改进。

无论选择什么分摊标准,只要是分摊就会存在合理性问题。分摊的合理性是相对而不是绝对的,相对的合理好于绝对的错误,就像家庭联产承包政策,土地分配的合理性是相对而不是绝对的,但承包制相对的合理,远胜于绝对不合理的、大锅饭的、不分配的人民公社。

​ 分摊标准有不同的确定依据。

某项费用没有明确的分摊标准时,可以从不同途径寻找依据。例如:

行业专家。即听取行业专家的意见。

数据分析。即相关性分析。例如,不知道运输费用该用什么标准分摊,就列出过去12个月的运输费用数据,以及可能的分摊标准如人工工时、运输里程等的数据,分别计算运输费用与人工工时、运输里程的相关系数,选择较大的作为分摊标准。

一线员工。相对传统成本计算,多维组合成本更多地依赖业务人员。一线业务人员由于天天在现场,对费用的发生原因、过程和影响,认识是最清楚的,对分摊标准的选择也是最有发言权的。

(2)分摊标准的数值

示例:厂房租金是每月10万元,有三个车间,面积分别为300平方米、200平方米和500平方米,则三个车间应分摊的租金分别是3万元、2万元和5万元。这里,面积就是分摊标准,300平方米、200平方米和500平方米就是分摊标准的数值。

分摊标准的数值,也有录、导、取等多种取数方式。多维组合成本可促进企业完善基础管理,例如敦促企业测量过去没有测量过的车间面积,记录设备的使用功率、车辆的运输里程等。

丰富的分摊标准是多维组合成本的一大特点,也是一大优点。采集分摊标准的数值,在目前的技术条件下并不算难事。作业成本有一种时间驱动的核算模型,对分摊标准做了简化,必要时我们也可以参考这种简化方式。

3.分摊范围

成本对象的范围,取决于业务单据所处的状态。例如:

(1)医药生产企业的成本对象是"生产批号+作业",其中生产批号的范围,取决于关联的生产任务单的状态,即只应包括已投产且本月月初未完工的生产任务单,而不是所有的生产任务单。已投产不限月份,即不管生产任务单的投产日期是哪个月的;本月月初未完工,体现在生产任务单是否处于关闭状态上。

(2)医药连锁企业的成本对象是"客户+产品+作业",其中客户和产品的范围,取决于销售订单的状态,即只包括已下达执行且本月月初未完成的销售订单,而不是所有的销售订单。已下达执行不限月份,即不管销售订单的订单日期是哪个月的;本月月初未完成,体现在销售订单是否处于关闭状态上。

(3)快递服务公司的成本对象是"客户类型+货物类型+路由+作业+部门",其中客户类型、货物类型、路由的范围,取决于快递单的状态,即只包括已下达执行且本月月初未完成的快递单,而不是所有的快递单。已下达执行不限月份,即不管快递单的单据日期是哪个月的;本月月初未完成,体现在快递单是否处于关闭状态上。

可以看到,多维组合成本以业务状态而不是业务日期为标准来明确成本对象的范围,相对于传统成本计算是一个很大的优点,例如:

(1)医药生产企业,已经完工入库但由于存在不确定性尚未关闭的生产任务单,次月发生废品损失,照样可以追加此生产任务单关联的成本对象的成本。

(2)医药连锁企业,已经交付但由于存在不确定性尚未关闭的销售订单,次月发生售后服务费用,照样可以追加此销售订单关联的成本对象的成本。

(3)快递服务公司,已经完成但由于存在不确定性尚未关闭的快递单,次月发生投诉之类的费用,照样可以追加此快递单关联的成本对象的成本。

可以看到,多维组合成本将产品周期管理转化为了服务周期管理,从而促使经营者从关注产品或劳务的交付转移到关注全程服务的交付,从关注眼前行为眼前利益转移到关注长期影响长期利益。

企业实务中经常出现这种情况,即有些部门的一把手急功近利,特别是在干部轮岗之时,新旧交替之际,不顾质量不计后果地突击抓业务,创造了自己在任时的业绩,至于这些突击发展的业务留下的隐患则由继任者去处理,引起的麻烦由后来者去承担,造成的损失由新人去埋单。通过多维组合成本,就可以追加这种短期行为的成本,准确衡量真实业绩,促使大家树立长远意识。

以产品为中心是传统成本计算最根本的思想缺陷,在这种思想下,大家认为产品或劳务交付完成,一切就万事大吉。以多维组合破除产品中心,是多维组合成本最根本的思想突破,在这种思想下,大家认为产品或劳务交付完成,一切才刚刚开始。借助多维组合成本,可促使企业实现产品观向多维观的转变。

根据业务单据所处状态,确定成本对象的范围后,每项费用在分摊路径上,后节点应在前节点已分摊的范围内进行,即递进进行。例如:

(1)医药生产企业对材料费用的分摊,节点依次是产品、作业、生产批次。则:

​ 在向产品分摊时,依据是相关范围的生产任务单上的不同产品;

​ 进一步指向作业时,只向该产品消耗的不同作业分摊;

​ 进一步指向生产批号时,只向该产品该作业对应的不同生产批号分摊。

(2)医药连锁企业对业务招待费的分摊,节点依次是部门、客户、作业、产品。

​ 在向部门分摊时,依据是相关范围的销售订单上的不同部门;

​ 进一步指向客户时,只向该部门的不同客户分摊;

​ 进一步指向作业时,只向该部门该客户的不同作业分摊;

​ 进一步指向产品时,只向该部门该客户该作业对应的不同产品分摊。

(3)快递服务公司对运输费的分摊,节点依次是部门、路由、作业、货物类型、客户类型。

​ 在向部门分摊时,依据是相关范围的快递单上的不同部门;

​ 进一步指向路由时,只向该部门的不同路由分摊;

​ 进一步指向作业时,只向该部门该路由的不同作业分摊;

​ 进一步指向货物类型时,只向该部门该路由该作业对应的不同货物类型分摊;

​ 进一步指向客户类型时,只向该部门该路由该作业该货物类型对应的不同客户类型分摊。

分摊范围是由投入产出原则决定的,分摊标准是由成本动因原则决定的。投入产出原则决定了费用向谁分摊,成本动因原则决定了费用怎么分摊。

(二)多路径分摊的场景

1.专属费用与共耗费用的关系

多路径分摊只针对共耗费用。为此,需先介绍专属费用与共耗费用的关系。

传统成本计算的成本对象是产品,多维组合成本的成本对象是多维组合。因成本对象不同,专属费用与共耗费用的概念也不同。

对于多维组合成本而言,只要是归集到某个口径的费用,就是该口径的专属费用,对其他口径就是共耗费用。

例如单口径归集,归集到某产品的费用就是该产品的专属费用,对于作业维度来说,就是共耗费用,需要向不同作业分摊。归集到某作业的费用就是该作业的专属费用,对于产品维度来说,就是共耗费用,需要向不同产品分摊。如图4-15所示。

图4-15 单口径的专属费用与共耗费用

再如多口径归集,归集到某"客户+部门"的费用就是该"客户+部门"的专属费用,对于产品、作业维度来说,就是共耗费用,需要向不同产品和作业分摊。归集到某"产品+作业"的费用就是该"产品+作业"的专属费用,对于部门、客户维度来说,就是共耗费用,需要向不同部门和客户分摊。如图4-16所示。

图4-16 多口径的专属费用与共耗费用

2.多口径归集与多路径分摊的关系

通过多口径的专属费用与共耗费用,可以看到,如果成本对象就是"客户+部门+产品+作业",那么,通过多口径归集就可以完成整个成本计算过程。也就是说,如果多口径归集的口径与成本对象恰好一致,则不再需要多路径分摊,如图4-17所示。

图4-17 多口径归集完成成本计算

我们已经知道,归集与分摊的本质是完全一样的。在进行多口径归集时,也适用分摊路径、分摊标准、分摊范围等概念。既然已经有了多口径归集,为何还要进行多路径分摊呢?因为通过多口径归集就完成成本计算,只会是一种特例或个案,在实务中不会总有这么美的事情。我们在制定方案时,不可能天才地考虑全景,但也不能天真地只考虑个案。

在大多数情况下,通过多口径归集仍到达不了最终目标,即多维组合的成本对象,因此需要进行多路径分摊。多口径归集与多路径分摊的关系如图4-18所示。

图4-18 多口径归集与多路径分摊

如果某项费用只有一个归集口径,则这个归集口径就是分摊的起点,对外,即对其余口径则是共耗费用了。

如果某项费用有多个归集口径,则通过多口径归集,将不同口径的专属费用变成口径并集的专属费用,这个最大并集即为分摊起点,对外,即对其余口径则是共耗费用了。

即先通过多口径归集实现内部统一,相当于攘外必先安内,相当于分摊前的预处理,以明确对外的共耗费用。然后再进行多路径分摊,这时,不再考虑可能还有某个口径的专属费用,也避免了某项费用设置多条分摊路径。

多维组合成本在企业实务中,就是通过需求分析明确成本对象后,搭建费用归集与分摊模型,而搭建这一模型,说得干脆点,就是要捋清分摊的线,解开归集的结。

(三)关于事前分摊

国外有一种成本计算方法,随着他们的企业管理软件也带到了中国部分企业。

1.方法概述

这种方法认为,做事之前先要有规矩,生产之前先要有标准,生产过程就是按标准进行成本自动卷积的过程,生产的某道工序完成了,工序成本就自动形成了;生产的产品完成了,产品成本就自动形成了。因此,成本计算是不需要对费用进行分摊的。

这种方法,工序成本由直接材料、直接人工和制造费用构成。其中,直接材料成本等于材料消耗定额乘以单位材料成本,直接人工成本等于工时乘以成本人工费率,制造费用等于工时乘以成本间接费率。

在计算因子中,材料消耗定额是已知的,例如生产1辆汽车需要4个轮子;单位材料成本是已知的,例如轮子采购价格是3000元;作业工时数据是已知的,例如从现场生产制造系统可以取到每道工序开工和完工的时间。问题就在于费率,包括成本人工费率和成本间接费率,是如何设置的。

2.费率制定

费率是一种标准,但与产品标准成本或作业标准成本不同。产品标准成本是针对产品制定的,作业标准成本是针对作业制定的,而费率是针对资源制定的。这里的资源,是指设备、人工或生产线,通过资源完成工序。

成本人工费率,就是占用某种资源时,直接人工每小时多少钱。成本间接费率,就是占用某种资源时,间接费用或者说制造费用每小时多少钱。

费率计算场景:

假如生产箱盖需要熔炼和压铸两道工序,熔炼有1名熔炼工使用熔炼炉,工资1500元;压铸有2名压铸工使用压铸机,工资分别为3000元和6000元。

熔炼炉和压铸机分摊厂房租金分别为300和600元,折旧分别为10元/小时和15元/小时,分摊车间管理人员工资分别为15000元和30000元。全月工时为150小时。

费率计算过程:

熔炼炉的成本间接费率=熔炼炉分摊厂房租金÷全月工时+熔炼炉折旧

=300÷150+10

=12元/小时

压铸机的成本间接费率=压铸机分摊厂房租金÷全月工时+压铸机折旧

=600÷150+15

=19元/小时

熔炼炉的成本人工费率=熔炼工工资÷全月工时÷熔炼工人数+熔炼炉分摊管理人员工资÷全月工时÷熔炼工人数

=1500÷150÷1+15000÷150÷1

=110元/小时/人

压铸机的成本人工费率=压铸工工资÷全月工时÷压铸工人数+压铸机分摊管理人员工资÷全月工时÷压铸工人数

=(3000+6000)÷150÷2+30000÷150÷2

=130元/小时/人

这种方法,成本计算的准确性在很大程度上取决于费率设置的合理性。费率是在系统初始化时设置的,这样,成本计算问题就变成了系统初始设置问题了。也就是说,我们本希望通过软件来进行成本计算,现在球被踢了回来,要求我们在应用软件前自己制定好费率,软件只是以预先制定好的费率为基础来计算成本。

可以看到,国外的这种成本计算方法,并不是不进行费用分摊,费率的制定过程,就是一个费用分摊的过程。它将费用分摊工作提前进行了,不是在事后进行,而是在事前进行,在正式量产前的原型样件试制时就制定好;不是在软件系统内进行,而是在软件系统外进行。另外,为了保证科学合理,费率还要与时俱进,每年调整,不可能一成不变。

3.成本计算

直接人工和制造费用是依据费率计算的。例如,某产品耗用1名熔炼工使用熔炼炉2小时,耗用2名压铸工使用压铸机1小时,则:

直接人工=1人×2小时×110元/小时/人+2人×1小时×130元/小时/人=480元

制造费用=2小时×12元/小时+1小时×19元/小时=43元

4.差异处理

如果实际发生直接人工是500元,制造费用是50元,则:

直接人工差异=500-480=20元

制造费用差异=50-43=7元

差异处理有多种方式,包括:

(1)不处理。因为差异本月可能为正,下月可能为负,长期而言就是零,所以可以不用处理。

(2)结转损益。这是将差异视为与生产无关的问题,认为不应该计入产品成本。例如材料用贵了,是采购部门的责任;人工用贵了,是人力资源部的责任;制造费用消耗多了,也是管理部门的问题,与生产部门没有关系。

(3)分摊到不同产品或工序。这是将差异视为与生产有关的问题。无论是材料用贵了,或者人工用贵了,或者制造费用消耗多了,都是生产部门的需求造成的。分摊到工序显然比分摊到产品更细致。分摊到产品,可以明确差异是哪种产品造成的;分摊到工序,可以明确差异是哪种产品的哪道工序造成的。

可以看到,差异如果分摊,就可以在原成本计算的基础上得到实际成本了。如果差异分摊到产品,就可以得到实际产品成本;如果差异分摊到工序,就可以得到实际工序成本,进一步得到"产品+作业"的多维组合成本。与国内成本计算方法相比,计算结果在理论上是一样的,可谓殊途同归。

5.成本分析

成本分析是针对差异进行的。例如,如果产品成本中的直接材料成本是600元,实际材料费用是800元,材料成本差异是200元,说明材料用多了或用贵了;如果产品成本中的直接人工成本是480元,实际人工费用是500元,人工成本差异是20元,说明人工用多了或用贵了;如果产品成本中的制造费用是43元,实际制造费用是50元,制造费用差异是7元,说明制造费用消耗多了。

6.方法点评

国外的这种成本计算方法,核心是通过事前分摊制定出费率,并不适合中国企业。

从经营环境来看,西方发达国家是资金密集型或技术密集型企业,员工人数一般不多,设备比较先进,经营环境比较稳定,能够比较科学和严谨地制定出费率;我们是劳动密集型企业,是世界工厂,动不动就是万人大厂,设备相对落后,市场变化迅速,产品更新频繁,企业寿命较短,很难比较科学和严谨地制定出费率。

从制造费用来看,这种方法针对制造费用而不是明细制造费用设置成本间接费率,只能计算制造费用总数而不能计算制造费用明细,无法对具体制造费用进行分析。

从税务要求来看,根据人为设置的费率来计算成本,等于可以人为地调节成本。把费率定高些,成本就高些。如果差异采用不分摊的方式,税是不是就可以少交些?所有费用必须全部分摊,就不存在这个问题了,税务的人为调节空间就大大缩减了。

(四)关于实时分摊

多维组合成本在企业的实施,会涉及全员全程。成本计算会涉及谁来分摊和什么时候分摊等问题。这不仅是系统的权限问题,也是成本观念问题。

1.关于分摊主体的利弊分析

各级管理人员和员工,可以查询自己权限范围内的成本报表,这是没有争议的。但说起成本计算,大家都认为是财务部门的事情。有没有可能让各业务部门也参与进行费用分摊呢?部分企业对奖金的分配就采用了公司分配给各部门,再由各部门自行向员工分配的方式。既然业务部门可以参与奖金的分配,参与成本的分配为什么就不可以呢?

业务部门参与成本分摊工作,相当于费用的蛋糕层层切。例如归集到公司口径的费用由公司主导,与各部门协商讨论后向各部门分配;归集或已分配到部门的费用由部门主导,与各班组协商讨论后向各班组分配;归集或已分配到班组的费用由班组主导,与各员工协商讨论后向各员工分配;归集或已分配到员工的费用由员工自行向各作业分配;归集或已分配到作业的费用由工作中心向最终成本对象进行分配等。

业务部门参与成本分摊工作,其利主要有:

(1)实际业务的主体就是系统操作的主体。即实现实务与系统的结合,有利于业务部门了解成本的前因后果和相关绩效的来龙去脉。

(2)费用发生的主体就是费用分配的主体。即谁发生的费用由谁进行分摊,分摊过程更透明,分摊结果更准确,业务部门由成本计算结果的被动接受者变为主动参与者,对于最终的成本结果和相应的考核结果也就心服口服。

(3)有利于加强费用的自我监督。可增强全体员工的成本控制意识,充分调动员工关注成本计算的积极性,发挥员工参与成本分析的主动性,激发员工加强成本控制的创造性。

(4)有利于加强费用的上下监督。如公司口径的奢华消费向部门分摊时,部门将予以抵制;部门发生的不合理费用向公司归集时,公司将予以制止。

(5)有利于加强费用的平级监督。如电费按员工人数分摊,一个部门的浪费将由大家承担,因此浪费行为将被其他部门纠正,从而相互促进成本节约。

业务部门参与成本分摊工作,其弊主要是涉及面太广,组织工作要求很高。

基于大多数企业现状,成本分摊工作还是由财务部门负责,业务部门提供所需数据。具备一定条件后,业务部门可以直接进系统查询,条件成熟后可考虑由业务部门参与费用分摊等工作。

2.关于实时分摊的利弊分析

现在,实时成本的观念已经比较普及。基于预先制定的费率随着生产过程实现成本自动卷积,是计算实时成本的一种方式,另外可采用实时分摊的方式。

什么时候分摊,取决于管理需要。如果需要实时跟踪成本进度,则实时分摊;如果需要按周跟踪成本进度,则按周分摊;如果只需按月跟踪成本进度并完成月度成本报表,则按月分摊。

实时进行成本分摊工作,其利主要有:

(1)系统负荷比较均匀,业务部门参与成本分摊工作所花时间和精力也比较均匀。

(2)让员工平时也绷紧成本这根弦,有利于加强日常成本控制意识。

(3)某一费用发生时比较清楚因果关系,立即分摊结果更准确。

(4)成本是动态的,且动态成本的时间粒度可细化到日,甚至到一时一事,成本的逐日或逐笔累积可方便管理者跟踪成本进度,监控异常成本,并及时采取针对性措施。

实时进行成本分摊工作,其弊主要是工作量比较大,例如对每笔运输费用进行分摊,比月底对所有运输费用进行集中分摊,工作量要大好多;另外,折旧、工资等费用月底才能取到数据。

基于大多数企业现状,成本分摊工作还是按月进行。具备一定条件后可以按旬或周分摊,条件成熟后可考虑实时分摊。

(五)关于交互分配

交互分配,就是由于相互提供服务而产生的相互之间的分配,例如:

企业有供电和供水两个辅助生产车间。其中:

供电车间供电362000度,归集费用89000元,其中供水车间耗用6000度;

供水车间供水5370吨,归集费用21000元,其中供电车间耗用120吨。

我们需要计算出水和电的成本,以便后续向成本对象进一步分配。

水和电的成本计算方法包括以下几种:

1.直接分配法

是指对各辅助生产车间发生的费用直接进行分配,不考虑各辅助生产车间之间相互提供劳务的情况。这种方法适用于辅助生产车间相互提供产品或劳务不多,不进行费用的交互分配对成本计算影响不大的情况。计算如下:

电的单位成本=89000÷(362000-6000)=0.25元

水的单位成本=21000÷(5370-120)=4元

2.交互分配法

是指对各辅助生产车间发生的费用进行两次分配。计算如下:

供电车间转出费用=供水车间转入费用=89000÷362000×6000元

供电车间转入费用=供水车间转出费用=21000÷5370×120元

供电车间费用转入转出后的费用=89000-89000÷362000×6000+21000÷5370×120=87994.14元

供水车间费用转入转出后的费用=21000-21000÷5370×120+89000÷362000×6000=22005.86元

交互分配后:

电的单位成本=87994.14÷(362000-6000)=0.2472元

水的单位成本=22005.86÷(5370-120)=4.1916元

在各月辅助生产费用水平相差不大的情况下,为了简化计算工作,可以用本月的辅助生产单位成本作为下月交互分配的单位成本。

3.代数分配法

是指运用代数中的多元一次联立方程,在辅助生产车间相互提供劳务情况下进行费用分配的方法。采用代数分配法的分配结果最正确,但在有多个辅助生产车间相互提供劳务的情况下,未知数也相应增多,计算会比较复杂。计算如下:

设电的单位成本为X,水的单位成本为Y,则:

89000+120Y=362000X

21000+6000X=5370Y

计算结果:

X=0.2472,即为电的单位成本

Y=4.1869,即为水的单位成本

(六)关于网状分摊

1.网状分摊的场景

不同费用项目的多路径分摊形成网状结构,但这张网是数据构成的逻辑网,而不是实体构成的物理网。实体构成的物理网,包括电网、水网、气网等。供电公司、供水公司、供气公司的多维组合成本计算,就需要网状分摊。

就整体而言,每家公司都会有自己的运输网、销售网、客户网,例如快递服务公司。但就个体而言,每张单据的交付仍是链状而不是网状,例如具体的某张快递单,它的路径是确定的。

但对于供电公司、供水公司、供气公司则不同,电或水或气,在经营过程中时集时分,最终向具体用户交付时,分不清是从哪条路径过来的,如图4-19所示。

图4-19 网状结构

供电、供水、供气公司有以下特征:

(1)企业性质。它们不同于一般的生产型企业,因为电、水、气并不是自己生产的;也不同于一般的流通型企业,因为它们采购的电、水、气,如果没有压力等级的加工,用户是不能直接用的。

(2)输配过程。它们对电、水、气,分别都有输送过程和分配过程。

(3)网络维护。它们均为资产密集型行业,需要为资产提供维修、维护、巡视等作业,以保障网络正常运行。资产是作业的客体而不是主体,即为资产提供作业,而不是资产提供作业。

(4)压力等级。在输配过程中,每经过一个节点,电、水、气的压力等级一般会发生变化。可以认为,它们的产品就是不同的压力等级,变压过程就是不同压力等级产品的生产过程,输配过程就是不同压力等级产品的运输过程。每个节点就代表了位置信号明确的唯一一个压力等级。

(5)成本对象。多维组合成本的成本对象,是"资产+作业+压力等级+用户类型"。

(6)分摊路径。费用既要向"资产+作业"分摊,反映价值形成过程,也要沿网络各节点分摊,反映价值传递和叠加过程,还要向用户类型分摊,反映价值实现过程。

2.网状分摊的步骤

应用多维组合成本时,网状分摊的主要步骤如图4-20所示:

图4-20 网状分摊的主要步骤

第一步,将费用归集或分摊到“资产+作业”;

第二步,将“资产+作业”的成本归集或分摊到节点;

第三步,将“节点+资产+作业”的成本分摊到下级节点;

第四步,将“下级节点+资产+作业”的成本分摊到终极节点;

第五步,终级节点本身代表压力等级,且服务不同的用户类型,从而将"终级节点+资产+作业"的成本分摊到"用户类型+压力等级+资产+作业",实现多维组合成本。

(七)关于无法分摊

1.无法分摊的场景

不是所有的费用都有特定的成本动因。有时找不到与成本相关的驱动因素,或者几个假设的驱动因素与成本的相关程度都很低,或者取得驱动因素的代价很高,导致有些费用,确实不知道如何分摊。

另外,有些公司实行全成本核算,但又没有实行相应的全作业管理,导致部分费用没有匹配的相应作业,无法向作业维度分摊。

即使无法分摊,也应明确是什么费用,在分摊路径中的哪个节点,因什么原因,无法向哪个维度分摊。这才是有意义的探讨,而不是无原则的扯皮。个别费用在个别节点因特殊原因无法向某个维度分摊,显然并不能成为我们放弃整个多维组合成本方案的借口。

2.无法分摊的变通

对于无法分摊的费用,不能不分摊,否则不能保证各维度的数据完整和一致。我们在分析时,会发现不同维度的成本不相等,会分不清原因究竟是无法分摊还是分摊遗漏。

无法分摊的变通方法,就是在无法分摊的维度虚拟一个维度成员,由其来承担无法分摊的费用。

例如某项费用有500元,其中有100元无法向具体客户分摊,则由虚拟的"客户888"承担,如表4-7所示。

表4-7 虚拟客户承担无法分摊的费用

再如某项费用有400元,其中有80无法向具体作业分摊,则由虚拟的"作业888"承担。如表4-8所示。

表4-8 虚拟作业承担无法分摊的费用

对于无法分摊做了这样的变通,是有业务意义的,它的业务意义正在于无法分摊本身。

例如,它说明该由客户维度承担的费用,有100元找不到具体客户。这样的结果会敦促我们以后发生费用要有客户的针对性,减少盲目性,尽量减少与客户无关的费用。

再如,它说明该由作业维度承担的费用,有80元找不到具体作业。这样的结果会敦促我们以后发生费用要有作业的针对性,减少盲目性,尽量减少与正常作业无关的费用。

找过但没找到,与没有去找,是不同性质的两码事。

变通分摊是在强制平摊之外,对于无法分摊的另一种解决方法。

(八)关于矩阵运算

矩阵在多维组合成本的计算,包括分摊和查询过程中应用很多,示例如下。

现有两个客户分别是A、B,有三个产品分别是A、B、C,有两项作业分别是A、B。

对A客户:A产品销量5个,B产品销量10个,C产品销量3个。

对B客户:A产品销量4个,B产品销量5个,C产品销量5个。

对A产品:A作业单位成本10元,B作业单位成本15元。

对B产品:A作业单位成本15元,B作业单位成本20元。

对C产品:A作业单位成本10元,B作业单位成本10元。

现计算各客户各作业的成本,则:

A客户A作业成本=5×10+10×15+3×10=230元

A客户B作业成本=5×15+10×20+3×10=305元

B客户A作业成本=4×10+5×15+5×10=165元

B客户B作业成本=4×15+5*20+5×10=210元

如果采用矩阵,则客户产品矩阵描述如图4-21所示:

图4-21客户产品矩阵

产品作业单位成本矩阵描述如图4-22所示:

图4-22产品作业单位成本矩阵

客户作业成本计算如4-23所示:

图4-23客户作业成本计算

即客户作业成本矩阵的计算结果如4-24:

图4-24客户作业成本矩阵的计算结果

可以看到,尽管结果相同,但矩阵运算比较简洁。如果实务不是示例的2个客户、3种产品、2项作业,而是200个客户、300种产品、20项作业,一般求解就很烦琐,而矩阵运算只是一个公式,效率和性能优势就明显体现出来了。