三、经济效益关键指标分析

(一)盈利能力分析

根据上述现金流入和流出编制的项目投资现金流量表,并依据该表计算出项目的财务净现值FNPV、财务内部收益率FIRR和投资回收期。除这三个指标外,我们一般也计算出总投资收益率(ROI)来综合衡量项目的盈利能力,这些指标是募投项目盈利能力的完整体现,用以考察项目方案设计本身所决定的财务盈利能力。我们作出了所得税前和所得税后两个指标。税前指标不受融资方案和所得税政策变化的影响,仅仅体现项目方案本身的合理性,用于考察项目是否基本可行,并值得去为之融资。税后指标是所得税前分析的延伸,由于所得税作为现金流出,可用于判断税后项目投资对企业价值的影响,是企业投资决策依据的主要指标。

财务净现值FNPV、财务内部收益率FIRR和投资回收期及总投资收益率四大指标的推理计算公式如下:

1.财务净现值FNPV

财务净现值FNPV可以借助项目投资现金流量表计算。财务净现值是指按设定的基准折现率(财务基准收益率)计算的项目计算期内净现金流量的现值之和,计算公式如下:

FNPV=

一般情况下,财务盈利能力只计算项目投资财务净现值,可根据需要选择计算所得税前净现值和所得税后净现值。按照设定的基准折现率计算的财务净现值大于零时,可以判断项目方案在财务上可行。

2.财务内部收益率FIRR

财务内部收益率FIRR可以借助项目投资现金流量表计算。财务内部收益率是指项目计算期内净现金流量现值累计等于零时的折现率,即FIRR作为折现率使下面的公式成立:

=0

其中,CI——现金流入量

CO——现金流出来

——第t期的净现金流量

n=项目计算期

项目投资财务内部收益率、项目资本金财务内部收益率和投资各方财务内部收益率都依据上面的公式计算,但所用的现金流入和现金流出不同。当财务内部收益率FIRR大于或等于所设定的判别基准折现率时,项目方案在财务上是可行的。同时,我们也参考同行上市公司的同类募投项目的财务内部收益率情况作对比,如果明显比同行低或者明显比同行高,我们会建议企业重新核实基础资料的真实性和严谨性,一般同一个行业类似的产品,其财务内部收益率应该差不多。

3.投资回收期

项目投资回收期()可以借助项目投资现金流量表计算。项目投资回收期是指以项目的净收益回收项目投资所需要的时间,一般以年为计算单位。项目投资回收期一般从项目建设期开始算起,若从项目投产开始年计算,应予以特别注明。项目投资回收期可以采用以下公式表达:

=0

项目投资现金流量表中累计净现金流量由负值变为零的时点,即为项目的投资回收期。投资回收期应按以下公式计算:

=T-1+

其中:T——各年累计净现金流量首次为正值或零的年数

投资回收期短,表明项目投资回收快,抗风险能力强。反之,表明项目投资回收慢,抗风险能力弱。我们一般计算出所得税前和所得税后的投资回收期作对比衡量,以考察所得税对投资回收期的影响。

4.总投资收益率

总投资收益率(ROI)不是通过项目投资现金流量表计算的。总投资收益率表示总投资的盈利水平,是指项目达到设计产能后正常年份的年息税前利润或运营期内年平均息税前利润(EBIT)与项目总投资(TI)的比率,总投资收益率应按以下公式计算:

ROI=×100%

其中:EBIT——项目正常年份的年息税前利润或运营期内年平均息税前利润

TI——项目总投资

总投资收益率高于同行业的收益率参考值,表明总投资收益率表示的盈利能力满足要求。如表2-25所示。

表2-25 项目总投资收益率分析

平均税后利润

平均息税前利润

总投资金额

总投资收益率(税后)

总投资收益率(税前)

(二)不确定性分析

项目经济评价所采用的基本变量都是对未来的预测和假设,因而具有不确定性。通过对拟建项目具有较大影响的不确定性因素进行分析,计算基本变量的增减变化引起项目财务或经济效益指标的变化,找出最敏感的因素及其临界点,预测项目可能承担的风险,使项目的投资决策建立在较为稳妥的基础上。不确定性分析的考核指标,我们一般通过盈亏平衡分析和敏感性分析来表达。

1.盈亏平衡分析

盈亏平衡分析是指项目达到设计生产能力的条件下,通过盈亏平衡点(BEP)分析项目成本与收益的平衡关系。盈亏平衡点是项目的盈利与亏损的转折点,即在这一点上,销售(生产、服务)收入等于总成本费用,正好盈亏平衡,用以考察项目对产品变化的适应能力和抗风险能力。盈亏平衡点越低,表明项目适应产出品变化的能力越强,抗风险能力越强。反之,则表明项目适应产出品变化的能力越弱,抗风险能力越弱。

盈亏平衡点通过正常年份的产量或者销量、可变成本、固定成本、产品价格和销售税金及附加等数据计算。可变成本主要包括:原材料、燃料、动力消耗、包装费用和计件工资等。固定成本主要包括:工资(计件工资除外)、折旧费、无形资产及其他资产摊销费、修理费和其他费用等。为简化计算,财务费用一般也作为固定成本。

盈亏平衡分析分为线性盈亏平衡分析和非线性盈亏平衡分析,项目评价中仅进行线性盈亏平衡分析。线性盈亏平衡分析有以下四个假定条件:

①产量等于销量,即当年生产的产品(或服务)当年销售出去;

②产量变化,单位可变成本不变,从而总成本费用是产量的线性函数;

③产量变化,产品售价不变,从而销售收入是销量的线性函数;

④按单一产品计算,当生产多种产品,应换算为单一产品,不同产品的生产达产率的变化应保持一致。

盈亏平衡点的计算形式有多种,项目评价中最常用的是以产量和生产能力利用率表示的盈亏平衡点。在实际工作中,我们经常使用生产能力利用率来计算盈亏平衡点,更直观地体现产出品数量变化的适应能力和抗风险能力。盈亏平衡点采用如下公式计算:

·=×100%

·=×100%

T1

T2

T3

T4

……

T10

营业收入

营业税金及附加

总成本费用

变动成本

固定成本

付现成本

盈亏平衡产能利用率

表2-26 项目盈亏平衡分析

2.敏感性分析

敏感性分析是投资建设项目评价中应用广泛的一种技术,用以考察项目设计的各种不确定因素对项目基本方案经济评价指标的影响,找出敏感因素,估计项目效益对它们的敏感程度,粗略预测项目可能承担的风险,为进一步的风险分析打下基础。

敏感性分析包括单因素敏感性分析和多因素敏感性分析。单因素敏感性分析是指每次只改变一个因素的数值来进行分析,估算单个因素的变化对项目效益产生的影响;多因素分析则是同时改变两个或两个以上因素进行分析,估算多因素同时发生变化的影响。为了找出关键的敏感性因素,我们在日常工作中,通常进行单因素敏感性分析。

敏感性分析方法及步骤如下:

①根据项目特点,结合经验判断选择对项目效益影响较大且重要的不确定因素进行分析。经验表明,主要对产出品价格、建设投资、主要投入物价格或可变成本、达产率、建设工期及汇率等不确定因素进行敏感性分析。

②敏感性分析一般是选择不确定因素变化的百分率为±5%、±10%、±15%、±20%等。对于不便用百分率表示的因素,如建设工期,可采用延长一段时间表示,如延长一年。

③建设项目经济评价有一整套指标体系,敏感性分析可选定其中一个或几个主要指标进行分析,最基本的分析指标是财务内部收益率。根据项目的实际情况也可选择净现值或投资回收期评价指标,必要时可同时针对两个或两个以上的指标进行敏感性分析。

④敏感度系数指项目评价指标变化的百分率与不确定因素变化的百分率之比。敏感度系数高,表示项目效益对该不确定因素敏感程度高。计算公式如下:

=

其中:——评价指标A对于不确定因素F的敏感系数

——不确定因素F的变化率

——不确定因素F发生变化率时,评价指标A的相应变化率

>0,表示评价指标与不确定因素同方向变化;<0,表示评价指标与不确定因素反方向变化。较大者敏感度系数高。

⑤临界点(转换值,Switch Value)是指不确定因素的变化使项目由可行变为不可行的临界数值,可采用不确定因素相对基本方案的变化率或其对应的具体数值表示。当该不确定因素为费用科目时,即为其增加的百分率;当其为效益科目时为降低的百分率。临界点也可用该百分率对应的具体数值表示。当不确定因素的变化超过了临界点所表示的不确定因素的极限变化时,项目将由可行变为不可行。

临界点的高低与计算临界点的指标的初始值有关。若选取基准收益率为计算临界点的指标,对于同一个项目,随着设定基准收益率的提高,临界点就会变低(即临界点表示的不确定因素的极限变化变小)。而不一定的基准收益率下,临界点越低,说明该因素对项目评价指标影响越大,项目对该因素就越敏感。

从根本上说,临界点计算是使用试插法。当然,也可以用计算机软件的含税或图解法求得。由于项目评价指标的变化与不确定因素变化之间不是直线关系,当通过敏感性分析图求得临界点的近似值时,有时有一定的误差。

⑥敏感性分析结果在项目决策分析中的应用。将敏感性分析的结果进行汇总,编制敏感性分析表,如表2-27所示。

变化率 变化因素

-30%

-20%

-10%

0

10%

20%

30%

基准折现率

建设投资

销售价格

原材料成本

汇率

……

表2-27 敏感性分析表

编制敏感度系数与临界点分析表,如表2-28所示。

不确定因素

变化率(%)

内部

收益率

敏感度

系数

临界点(%)

临界值

基本方案

产品产量

产品价格

原材料价格

建设投资

……

表2-28 敏感度系数和临界点分析表

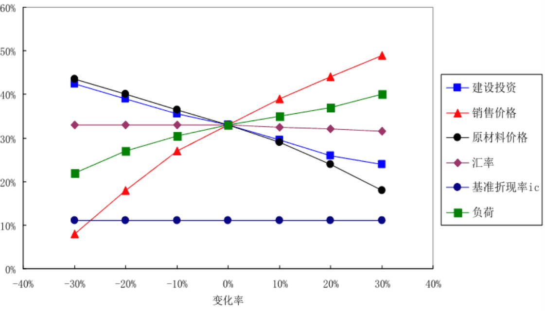
也可编制敏感性分析图,如图2-12所示。

图2-12 敏感性分析图

不管是分析表还是分析图,都要对分析结果进行文字说明,将不确定因素变化后计算的经济评价指标与基本方案评价指标进行对比分析,结合敏感度系数及临界点的计算结果,按不确定性因素的敏感程度进行排序,找出最敏感的因素,分析敏感因素可能造成的风险,并提出应对建议。当不确定因素的敏感度很高时,应进一步通过风险分析,判断其发生的可能性及对项目的影响程度。